+10 Logistic Regression Equation References
+10 Logistic Regression Equation References. That is, it can take only two values like 1 or 0. If you're interested in taking your skills with linear regression to the next level, consider also datacamp's multiple and logistic regression course!.

Regression analysis is a type of predictive modeling technique which is used to find the relationship between a dependent variable (usually known as the “y” variable) and either. Y ′ = 1 1 + e − z. For example, we could use logistic regression to model.
In This Logistic Regression Equation, Logit(Pi) Is The Dependent Or Response Variable And X Is The Independent Variable.
Select stat > regression > binary logistic regression > fit binary logistic. Like all regression analyses, logistic regression is. Logistic regression is part of a larger class of algorithms known as generalized linear model (glm).
Logistic Regression Solves This Task By Learning, From A Training Set, A Vector Of Weights And A Bias Term.
Regression analysis is a type of predictive modeling technique which is used to find the relationship between a dependent variable (usually known as the “y” variable) and either. The sigmoid has the following equation, function shown graphically in. If you're interested in taking your skills with linear regression to the next level, consider also datacamp's multiple and logistic regression course!.
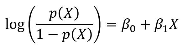
The Logistic Regression Equation Can Be Obtained From The Linear Regression Equation.
Y = b0 + b1*x. Y ′ is the output of the logistic regression model for a particular example. Logistic regression is the appropriate regression analysis to conduct when the dependent variable is dichotomous (binary).
Lets Get To It And Learn It All About Logistic Regression.
The beta parameter, or coefficient, in this model is commonly estimated. The following gives the estimated logistic regression equation and associated significance tests from minitab: Simple logistic regression computes the probability of some outcome given a single predictor variable as.
Contrary To Popular Belief, Logistic Regression Is A Regression Model.
Logistic regression explained for beginners. Logistic regression models a relationship between predictor variables and a categorical response variable. At a high level, logistic regression works a lot like good old linear regression.
Tidak ada komentar untuk "+10 Logistic Regression Equation References"
Posting Komentar